Quizzino della domenica: Catena di equazioni

https://xmau.com/wp/notiziole/2025/11/09/quizzino-della-domenica-catena-di-equazioni/

.mau. Nov 09, 2025 · 1 min read
Quizzino della domenica: Catena di equazioni
Share this

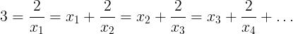
773 – algebra

Data la catena di equazioni 3 = 2/x1 = x1 + 2/x2 = x2 + 2/x3 = x3 + 2/x4 = …, quanto vale il termine generico xn?


(trovate un aiutino sul mio sito, alla pagina https://xmau.com/quizzini/p773.html; la risposta verrà postata lì il prossimo mercoledì. Problema 7 da Stephen Siklos, Advanced Problems in Mathematics.)